

1.合成目标化合物分子的骨架
反应目的 | 具体方法或反应 |
增长碳链或增加支链 | 聚合反应、加成反应(不饱和烃与HCN)、酯化反应、格氏试剂与有机物反应 |
缩短碳链 | 氧化反应、酯水解反应 |
形成碳环 | 双烯加成 |
2.引入所需官能团(注意官能团转化和相互影响)
官能团 | 引入方法 |
碳碳双键 | 醇、卤代烃的消去反应,炔烃的不完全加成 |
卤素原子 | 烯、炔加成反应,烷烃取代反应,醇、酚的取代反应 |
羟基 | 卤代烃水解、酯水解、醛酮加氢、烯烃水化 |
醛基 | 伯醇的催化氧化、炔烃水化、烯烃氧化 |
羧基 | 酯水解、氰基水解、醛基氧化、苯环侧链氧化 |
酯基 | 醇酸酯化 |
3.有机合成路线设计模型

例1 根据已知信息,设计完整的合成路线
如图为某抗菌药中间体H的合成路线。

已知:①
②
③
回答下列问题:
(1)化合物C的结构简式是。
(2)化合物E分子中共有个sp2杂化的碳原子。
(3)请写出F→G的化学方程式:。
(4)乙酰乙酸乙酯()是一种重要的有机合成试剂,参照上述信息,设计以乙醇为原料合成乙酰乙酸乙酯的合成路线。(无机试剂任选。)
思路引导

答案 (1) (2)2 (3)
(4)
例2 给出合成路线的部分信息,补全合成路线或分析其中的部分步骤等
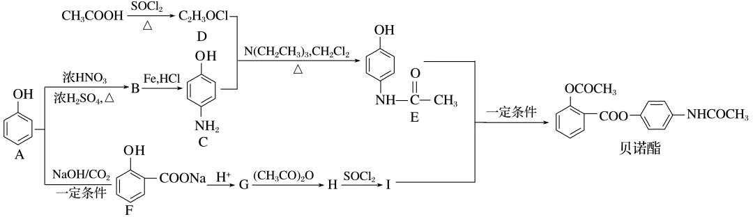
贝诺酯俗称扑炎痛,是一种新型的消炎、解热、镇痛、治疗风湿病的药物,其合成路线如图所示。

已知:苯环上有羧基时,引入的硝基取代间位上的氢原子。
回答下列问题:
(1)B的结构简式为。
(2)E中官能团的名称是。
(3)G→H的反应类型是;E和I反应的化学方程式为。
(4)某药物中间体的合成路线如下(部分反应条件已略去),其中J和K的结构简式分别为
和。

答案 (1) (2)(酚)羟基、酰胺基 (3)取代反应 + (4)
解析(4)由已知信息“苯环上有羧基时,引入的硝基取代间位上的氢原子”可知,苯环上需要先引入硝基,再引入羧基,最后将硝基还原为氨基,因此合成路线如下:



通过网盘分享的文件:word讲义【更新联系:lymsummers】等2个文件
链接: https://pan.baidu.com/s/10SY5y2aMVnchrA2xx-JUuQ?pwd=4321 提取码: 4321
--来自百度网盘超级会员v8的分享