

1.常见官能团的引入(或转化)方法
官能团 | 引入(或转化)的常用方法 |
—OH | 烯烃与水加成反应、卤代烃水解反应、醛(酮)催化加氢反应、酯类水解反应、多糖发酵、羟醛缩合反应、醛(酮)与格氏试剂反应后在酸性条件下的水解反应等 |

| 烷烃与卤素单质的取代反应、烯烃α⁃H与卤素单质光照下的取代反应、苯环上的烷基与卤素单质在催化剂下的取代反应、烯烃(炔烃)与卤素单质或HX的加成反应、醇类与HX的取代反应等 |

| 醇类或卤代烃的消去反应、炔烃不完全加成 |
—COOH | 醛类的氧化、被酸性KMnO4溶液氧化成、酯类的水解、醛(酮)与HCN加成后在酸性条件下水解生成α⁃羟基酸等 |
—CHO | RCH2OH(伯醇)氧化、羟醛缩合、烯烃臭氧氧化等 |
—COO—R | 酯化反应 |

| 硝化反应 |

| 硝基的还原(Fe/HCl) |
2.官能团的消除方法
官能团名称 | 消除的常用方法 |
碳碳双键 | 加成反应、氧化反应 |
羟基 | 消去反应、氧化反应、酯化反应、取代反应 |
醛基 | 还原反应、氧化反应 |
碳卤键 | 取代反应、消去反应 |
3.常考官能团的保护方法
(1)酚羟基:易被氧气、臭氧、双氧水、酸性高锰酸钾溶液氧化。
常用的保护方法:①NaOH溶液与酚羟基反应,先转化为酚钠,最后再酸化重新转化为酚羟基:。
②用碘甲烷先转化为醚,最后再用氢碘酸酸化重新转化为酚:。
(2)氨基:易被氧气、臭氧、双氧水、酸性高锰酸钾溶液氧化。
常用的保护方法:用盐酸先转化为盐,最后再用NaOH溶液重新转化为氨基。
(3)碳碳双键:易与卤素单质加成,易被氧气、臭氧、双氧水、酸性高锰酸钾溶液氧化。
常用的保护方法:用氯化氢先与烯烃加成转化为氯代物,最后再用NaOH醇溶液通过消去反应重新转化为碳碳双键:HOCH2CH==CHCH2OHHOCH2CH2CHClCH2OHHOOC—CH==CH—COOH。
(4)醛基:易被氧化。
常用的保护方法:一般是把醛基制成缩醛,最后再将缩醛水解得到醛基(常用乙二醇):

4.碳骨架的构建
(1)增长碳链
①醛、酮与HCN的加成反应可使碳链增加1个碳原子,如+HCN。
②卤代烃与炔钠反应可使碳链增加2个及以上的碳原子。如溴乙烷与丙炔钠的反应:
CH3CH2Br+CH3C≡CNaCH3C≡CCH2CH3+NaBr。
③羟醛缩合反应实际上是醛的加成反应,醛基邻位碳原子上的氢原子(α⁃H)较活泼,能与另外一分子的醛基发生加成反应:
CH3CHO+。
(2)缩短碳链
①不饱和烃的氧化反应。如烯烃在酸性高锰酸钾溶液的作用下不饱和键发生断裂:
3COOH+。
②某些苯的同系物被酸性KMnO4溶液氧化为苯甲酸:。
③羧酸或羧酸盐的脱羧反应。如CH3COONa+NaOHCH4↑+Na2CO3。
(3)构建环状碳骨架
共轭二烯烃[如异戊二烯()]与含碳碳双键或碳碳三键的化合物在一定条件下发生反应得到环状加成产物。如:

5.有机合成路线设计的思路
第一步:合成所用的关键信息往往隐藏于整个流程中,首先要在整个流程中寻找与目标化合物“形似”的结构。
第二步:采用“逆推”法,比对原料和目标化合物的相同点、差异,解剖目标化合物。
第三步:结合反应条件、“已知”的陌生信息等,准确、详细分析原流程中的合成历程、断键、成键、官能团转化等,如法炮制合成路线。
在写有机合成路线时,所需条件切忌越位和自由发挥,必须来自于已知信息或题干流程中给予的信息。信息优先,所学原理次之。

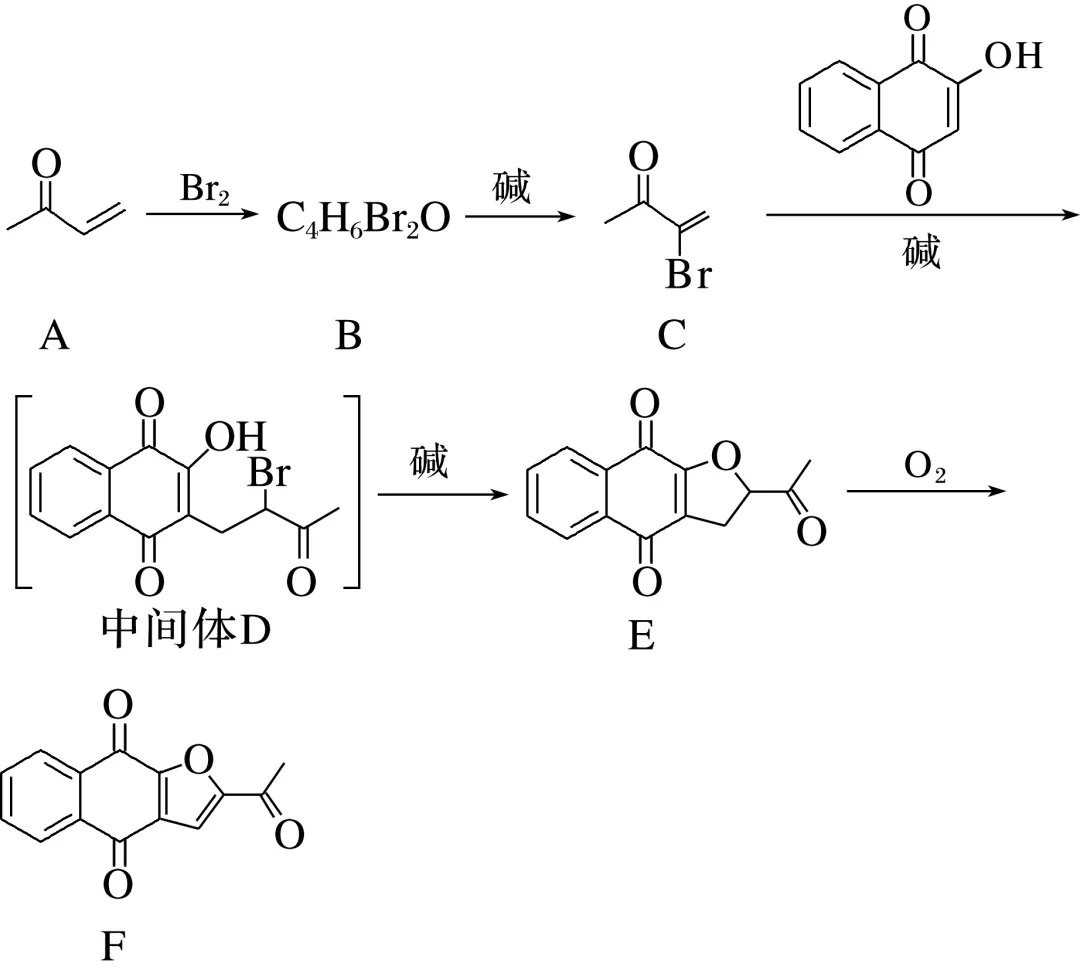
1.[2025·湖南,17(7)]化合物F是治疗实体瘤的潜在药物。F的一条合成路线如下(略去部分试剂和条件):


通过网盘分享的文件:word讲义【更新联系:lymsummers】等2个文件
链接: https://pan.baidu.com/s/1VcNxeHXgbJfoVMtA3SnQAg?pwd=4321 提取码: 4321
--来自百度网盘超级会员v8的分享