
第1练 深挖教材类试题
[分值:100分]
引导考生关注:教材习题、插图、资料卡片、方法引导等栏目内容
(1~14题,每小题5分)
1.(2025·盐城三模)化学与生产、生活、科技、医药等密切相关。下列说法不正确的是( )
A.可用X射线衍射仪区分普通玻璃和水晶
B.利用超分子的分子识别特征可以分离C60和C70
C.中国天眼(FAST)使用的SiC是新型无机非金属材料
D.“天目一号”气象星座卫星的光伏发电系统工作时可将化学能转化为电能
答案 D
解析 X射线衍射法可区分晶体(如水晶)和非晶体(如普通玻璃),因晶体具有有序结构会产生衍射峰,而非晶体不会,A正确;碳化硅(SiC)属于新型无机非金属材料,具有耐高温、高硬度等特性,广泛应用于高科技领域,C正确;光伏发电系统通过光电效应将光能直接转化为电能,D错误。
2.(2025·连云港一模)反应CH3COOH+CH3CH2OHCH3COOCH2CH3+H2O可用于制备乙酸乙酯。下列有关说法正确的是( )
A.H2O分子的VSEPR模型:
B.乙酸分子中σ与π键数目比为7∶1
C.羟基的电子式:
D.乙酸乙酯分子中含有离子键
答案 B
解析 H2O分子中O原子的价层电子对数=2+
=4,含有2个孤电子对,VSEPR模型为四面体形,A错误;乙酸(CH3COOH)分子中,单键全是σ键,双键含1个σ键和1个π键,σ与π键数目比为7∶1,B正确;羟基(—OH)的电子式应为
错误;乙酸乙酯是共价化合物,只含共价键,不含离子键,D错误。
3.元素周期表中存在“对角线规则”,如表所示。下列说法错误的是( )

A.Li能在N2中燃烧
B.BeO属于两性氧化物
C.BeCl2与过量NaOH溶液反应生成Be(OH)2
D.B可作为半导体材料
答案 C
解析 AlCl3与过量NaOH溶液反应生成Na[Al(OH)4],则BeCl2与过量NaOH溶液反应生成Na2[Be(OH)4]。
4.锌锰电池是生活中常用的一种化学电源,酸性锌锰电池和碱性锌锰电池的构造如图所示,下列有关说法错误的是( )

A.二者均属于一次电池
B.二者分别消耗6.5 g锌,都转移0.2 mol电子
C.二者的正极反应式均为MnO2+H2O+e-===MnO(OH)+OH-
D.碱性锌锰电池比酸性锌锰电池比能量高
答案 C
解析二者的负极皆为Zn,负极锌失电子,所以二者分别消耗6.5g锌,都转移0.2mol电子,故B正确;酸性锌锰电池的正极反应式为MnO2+N
+e-===MnO(OH)+NH3,碱性锌锰电池的正极反应式为MnO2+H2O+e-===MnO(OH)+OH-,故C错误;碱性锌锰电池用锌粉代替锌筒,增大反应物的接触面积,加快反应速率,因此碱性锌锰电池比酸性锌锰电池比能量高,故D正确。
5.苯甲酸是一种食品添加剂,某粗苯甲酸样品中含有少量NaCl和泥沙,提纯苯甲酸的实验流程如图(已知:常温下苯甲酸易溶于乙醇,25 ℃和75 ℃时苯甲酸在水中的溶解度分别为0.34 g和2.2 g)。下列说法正确的是( )

A.“过滤”时为了加快过滤速度,需要用玻璃棒不断搅拌漏斗中的液体
B.检验苯甲酸中含有的NaCl是否除净,可选用AgNO3溶液
C.“洗涤”时为了减少苯甲酸的损失、提高产量,可选用乙醇作洗涤剂
D.除去苯甲酸中的NaCl,“结晶”时应采用蒸发结晶
答案 B
解析过滤时,不能用玻璃棒搅拌漏斗中的液体,有可能会使滤纸破裂,故A错误;检验苯甲酸中含有的NaCl是否除净,可以取少量样品溶于水,滴加硝酸银溶液,若无白色沉淀,则说明NaCl已经除净,故B正确;常温下,苯甲酸微溶于水,易溶于乙醇,洗涤时不宜用乙醇,应用冷水,故C错误;NaCl的溶解度随温度变化不大,为除去NaCl,“结晶”时应采用冷却结晶,使NaCl留在滤液中,故D错误。
6.物质结构决定性质。对下列物质的性质差异解释错误的是( )
选项 | 性质差异 | 解释 |
A | 沸点:正戊烷>异戊烷 | 分子支链数量不同 |
B | 金属熔点:W>Cu | 金属键强弱不同 |
C | 导电性:石墨>金刚石 | 碳原子杂化方式不同,导致原子排列方式和原子轨道重叠方式不同 |
D | 酸性:CF3COOH>CCl3COOH | 相对分子质量大小不同 |
答案 D
解析烷烃的同分异构体中,支链越多,沸点越低,正戊烷和异戊烷互为同分异构体,正戊烷没有支链,异戊烷有一个支链,则沸点:正戊烷>异戊烷,A正确;因金属键强度差异,W中金属键强于Cu,则金属熔点:W>Cu,B正确;石墨中C原子为sp2杂化,有一个p电子可以自由移动,金刚石中C原子为sp3杂化,无自由移动的电子,碳原子杂化方式不同,导致原子排列方式和原子轨道重叠方式不同,则导电性:石墨>金刚石,C正确;酸性与F、Cl的电负性有关,电负性:F>Cl,F的吸电子能力强,则酸性:CF3COOH>CCl3COOH,D错误。
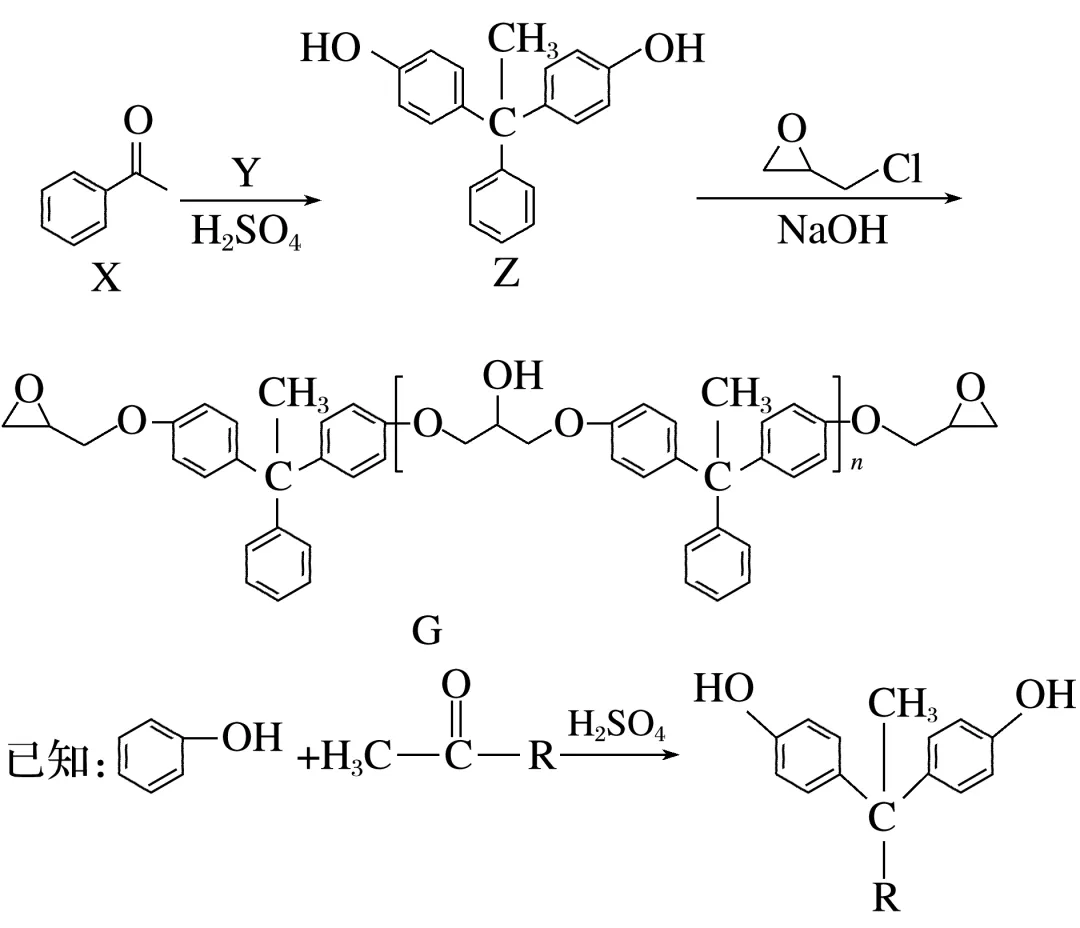
7.环氧树脂在机械制造、航空航天等许多工业领域中起到重要的作用。一种新型环氧树脂G的合成路线如图所示。

下列说法错误的是( )
A.X分子中的碳原子有两种杂化方式,且其中所有碳原子可能共面
B.1 mol Y能与NaHCO3溶液反应生成1 mol CO2
C.Z的核磁共振氢谱中,所含峰的峰面积之比为1∶2∶2∶3∶4∶4∶2
D.由Z合成聚合物G时会有无机物NaCl生成
答案 B

通过网盘分享的文件:word讲义【更新联系lymsummers】等2个文件
链接: https://pan.baidu.com/s/1RCL2uLZQuQ-rZUf2_ekrWg?pwd=4321 提取码: 4321
--来自百度网盘超级会员v8的分享