

1.解答反应机理问题的四判断
(1)催化剂判断:一般来说,催化剂在机理图中多是以完整的循环出现的。
(2)反应物判断:通过一个箭头进入整个历程的物质是反应物。
(3)中间产物判断:转化历程中生成,随之又参与下一步反应,一般不脱离整个历程。
(4)生成物判断:通过一个箭头最终脱离整个历程的物质一般是生成物。
2.示例:催化反应——环式历程分析方法


1.(2025·北京,10)乙烯、醋酸和氧气在钯(Pd)催化下高效合成醋酸乙烯酯(CH2==CHOOCCH3)的过程示意图如下。

下列说法不正确的是( )
A.①中反应为4CH3COOH+O2+2Pd2Pd
+2H2O
B.②中生成CH2==CHOOCCH3的过程中,有σ键断裂与形成
C.生成CH2==CHOOCCH3总反应的原子利用率为100%
D.Pd催化剂通过参与反应改变反应历程,提高反应速率
答案 C
解析②中生成CH2==CHOOCCH3的过程中,有C—H断开和C—O的生成,存在σ键断裂与形成,B正确;生成CH2==CHOOCCH3的总反应中有H2O生成,原子利用率不是100%,C错误。
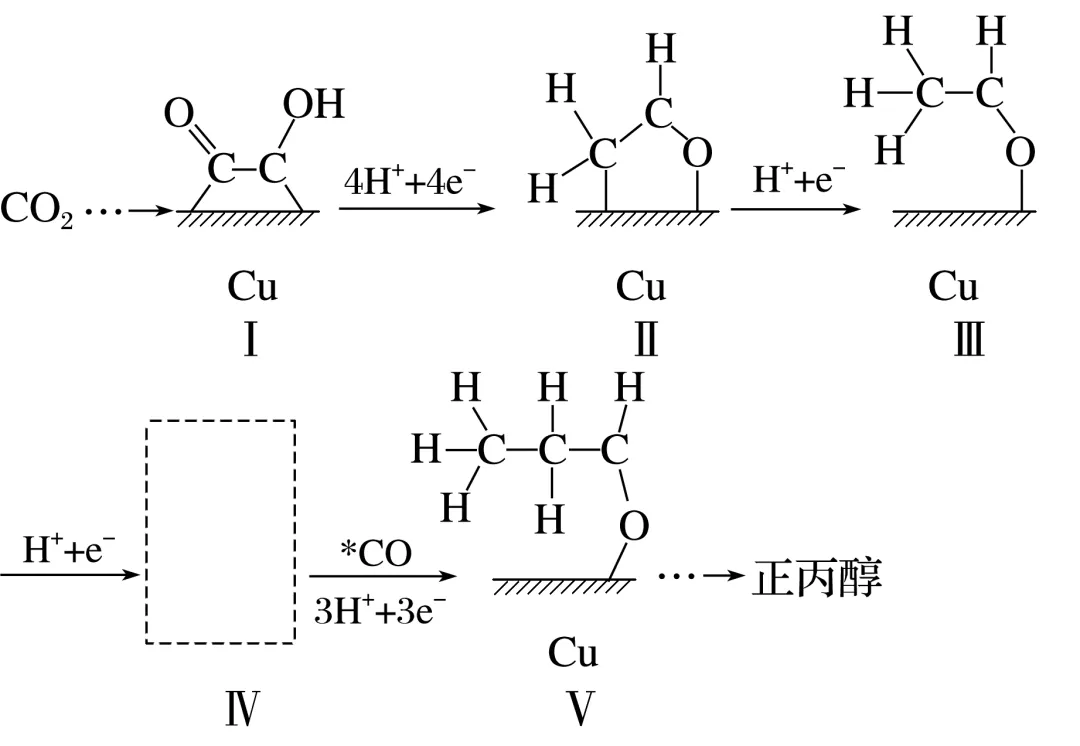
2.(2025·云南,10)铜催化下,由CO2电合成正丙醇的关键步骤如图。下列说法正确的是( )

A.Ⅰ到Ⅱ的过程中发生氧化反应
B.Ⅱ到Ⅲ的过程中有非极性键生成
C.Ⅳ的示意图为
D.催化剂Cu可降低反应热
答案 C
解析由图可知,Ⅰ到Ⅱ的过程中得4e-,发生还原反应,A错误;Ⅱ到Ⅲ的过程中生成了C—H极性键;B错误;结合反应的转化关系可知,Ⅲ中H+与连接O原子的C原子成键,得到1个e-,则Ⅳ的示意图为
正确;催化剂可降低反应的活化能,加快反应速率,不能改变反应热,D错误。
3.(2020·全国卷Ⅰ,10)铑的配合物离子[Rh(CO)2I2]-可催化甲醇羰基化,反应过程如图所示。

下列叙述错误的是( )
A.CH3COI是反应中间体
B.甲醇羰基化反应为CH3OH+CO===CH3CO2H
C.反应过程中Rh的成键数目保持不变
D.存在反应CH3OH+HI===CH3I+H2O
答案 C
解析由反应过程可知,CH3COI在反应过程中生成,后又参与后续反应而消耗,属于反应中间体,A项正确;观察反应过程图示可看出Rh的成键数目有4、5、6,C项错误;观察反应过程图示可知存在反应CH3OH+HI===CH3I+H2O,D项正确。
4.(2025·河南,13)在MoS2负载的Rh⁃Fe催化剂作用下,CH4可在室温下高效转化为CH3COOH,其可能的反应机理如图所示。

下列说法错误的是( )
A.该反应的原子利用率为100%
B.每消耗1 mol O2可生成1 mol CH3COOH
C.反应过程中,Rh和Fe的化合价均发生变化
D.若以CD4为原料,用H2O吸收产物可得到CD3COOH
答案 B
解析分析题图可知,该过程的总反应为2CO+O2+2CH4===2CH3COOH,故原子利用率为100%,A正确;根据总反应方程式知,每消耗1molO2会生成2molCH3COOH,B错误;分析题图知,催化剂原子上可连接O原子、—OH、—CO、—COCH3,且反应过程中成键个数均发生变化,所以Rh和Fe的化合价发生改变,C正确;以CD4为原料,按照总反应方程式,应当生成CD3COOD,其在水溶液中存在平衡:CD3COODCD3COO-+D+,CD3COO-会与H2O电离出的H+结合生成CD3COOH,D正确。
5.(2025·江苏,10)CO2与N
通过电催化反应生成CO(NH2)2,可能的反应机理如图所示(图中吸附在催化剂表面的物种用“*”标注)。下列说法正确的是( )

A.过程Ⅱ和过程Ⅲ都有极性共价键形成
B.过程Ⅱ中N
发生了氧化反应
通过网盘分享的文件:word讲义【更新联系:lymsummers】等2个文件
链接: https://pan.baidu.com/s/1VcNxeHXgbJfoVMtA3SnQAg?pwd=4321 提取码: 4321
--来自百度网盘超级会员v8的分享