
一、未知物或反应副产物的判断

1.确定官能团的方法
(1)根据试剂或特征现象推知官能团的种类
①使溴水褪色,则表示该物质中可能含有“
”或“—C≡C—”结构。
②使KMnO4(H+)溶液褪色,则该物质中可能含有“
”“ —C≡C—”或“—CHO”等结构或为苯的同系物。
③遇FeCl3溶液显紫色,或加入溴水出现白色沉淀,则该物质中含有酚羟基。
④遇浓硝酸变黄,则表明该物质是含有苯环结构的蛋白质。
⑤遇I2变蓝,则该物质为淀粉。
⑥加入新制的Cu(OH)2悬浊液,加热煮沸有红色沉淀生成或加入银氨溶液加热有银镜生成,表示含有—CHO。
⑦加入Na放出H2,表示含有—OH或—COOH。
⑧加入NaHCO3溶液产生气体,表示含有—COOH。
(2)根据数据确定官能团的数目
①
②2—OH(醇、酚、羧酸)H2。
③2—COOHCO2,—COOHCO2。
④
≡C—(或二烯、烯醛)—CH2CH2—。
⑤某有机物与醋酸反应,相对分子质量增加42,则含有1个—OH;增加84,则含有2个—OH。即—OH转变为—OOCCH3。
⑥由—CHO转变为—COOH,相对分子质量增加16;若增加32,则含2个—CHO。
⑦当醇被氧化成醛或酮后,相对分子质量减小2,则含有1个—OH;若相对分子质量减小4,则含有2个—OH。
(3)根据性质确定官能团的位置
①若醇能氧化为醛或羧酸,则醇分子中应含有结构“—CH2OH”;若能氧化成酮,则醇分子中应含有结构“—CHOH—”。
②由消去反应的产物可确定“—OH”或“—X”的位置。
③由一卤代物的种类可确定碳架结构。
④由加氢后的碳架结构,可确定“
”或“—C≡C—”的位置。
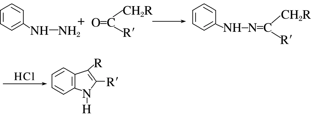
2.根据合成路线图中反应前后物质的差别推测某物质的结构简式。
应用举例
(1)
反应①中加入的试剂X的分子式为C8H8O2,X的结构简式为
(2)

B的结构简式为
(3)

实现D→E的转化中,加入的化合物X能发生银镜反应,X的结构简式为
(4)

合成F时还可能生成一种相对分子质量为285的副产物G,G的结构简式为。
(5)

E→F的反应中还可能生成一种有机副产物,该副产物的结构简式为。
(6)

B的结构简式为。

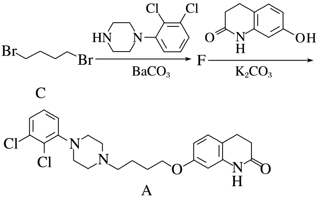
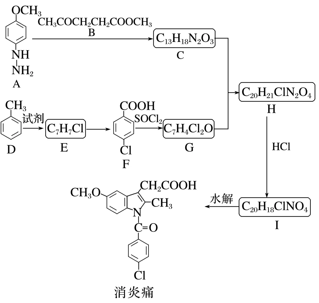
1.(2024·浙江6月选考,21)某研究小组按下列路线合成抗炎镇痛药“消炎痛”(部分反应条件已简化)。

已知:

请回答:
(1)化合物F的官能团名称是。
(2)化合物G的结构简式是。 
通过网盘分享的文件:word讲义【更新联系:lymsummers】等2个文件
链接: https://pan.baidu.com/s/10SY5y2aMVnchrA2xx-JUuQ?pwd=4321 提取码: 4321
--来自百度网盘超级会员v8的分享