

1.有机反应类型及结构简式、方程式的书写
(1)常见反应条件与反应类型的关系
反应条件 | 反应类型(可能发生反应的官能团或基团) |
浓硫酸、△ | ①醇的消去或成醚反应(醇羟基); ②酯化反应(羟基或羧基) |
稀硫酸、△ | 酯的水解反应(酯基) |
NaOH水溶液、△ | ①卤代烃的水解反应(—X);②酯的水解反应(酯基) |
NaOH醇溶液、△ | 卤代烃的消去反应(—X) |
H2/催化剂、△ | 加成反应(碳碳双键、碳碳三键、醛基、羰基、苯环) |
O2/Cu、△ | 醇羟基的催化氧化反应(—CH2OH、) |
Cl2(Br2)/铁或FeX3作催化剂 | 苯环上H原子的卤代反应 |
卤素单质(Cl2或溴蒸气)、光照 | 烷烃或苯环上烷烃基的卤代反应 |
溴水或溴的四氯化碳溶液 | 烯烃、炔烃的加成反应 |
O2或新制的Cu(OH)2或银氨溶液 | —CHO的氧化反应(如果连续两次出现O2,则为醇→醛→羧酸的过程) |
稀H2SO4、加热 | 酯、低聚糖、多糖等的水解反应 |
2.官能团的转化与反应类型的关系

3.重要方程式书写再落实
酯化 反应 | 2H5OH
H2O
|
加成 反应 | 烯烃的加成:CH3—CH==CH2+HCl |
CH2==CH—CH==CH2+Cl2―→CH2Cl—CHCl—CH==CH2(1,2⁃加成) |
CH2==CH—CH==CH2+Cl2―→CH2Cl—CH==CH—CH2Cl(1,4⁃加成) |
Diels⁃Alder反应:+|| |
消去 反应 | 醇分子内脱水生成烯烃:C2H5OHCH2==CH2↑+H2O |
卤代烃脱HX生成烯烃:CH3CH2Br+NaOHCH2==CH2↑+NaBr+H2O |
氧化 反应 | 催化氧化:2CH3CH2OH+O2 2CH3CHO+2H2O 2CH3CHO+O2 2CH3COOH |
醛基与银氨溶液的反应:CH3CHO+2[Ag(NH3)2]OHCH3COONH4+2Ag↓+3NH3+H2O(注意配平) |
醛基与新制的氢氧化铜的反应:CH3CHO+2Cu(OH)2+NaOHCH3COONa+Cu2O↓+3H2O |
还原 反应 | 醛基加氢:CH3CHO+H2 CH3CH2OH |
硝基还原为氨基: |
注意易错反应
(1)
2+H2O+NaHCO3(注意产物是NaHCO3,而不是Na2CO3)
(2)
2O(注意酚羟基显弱酸性,可以和NaOH溶液反应)

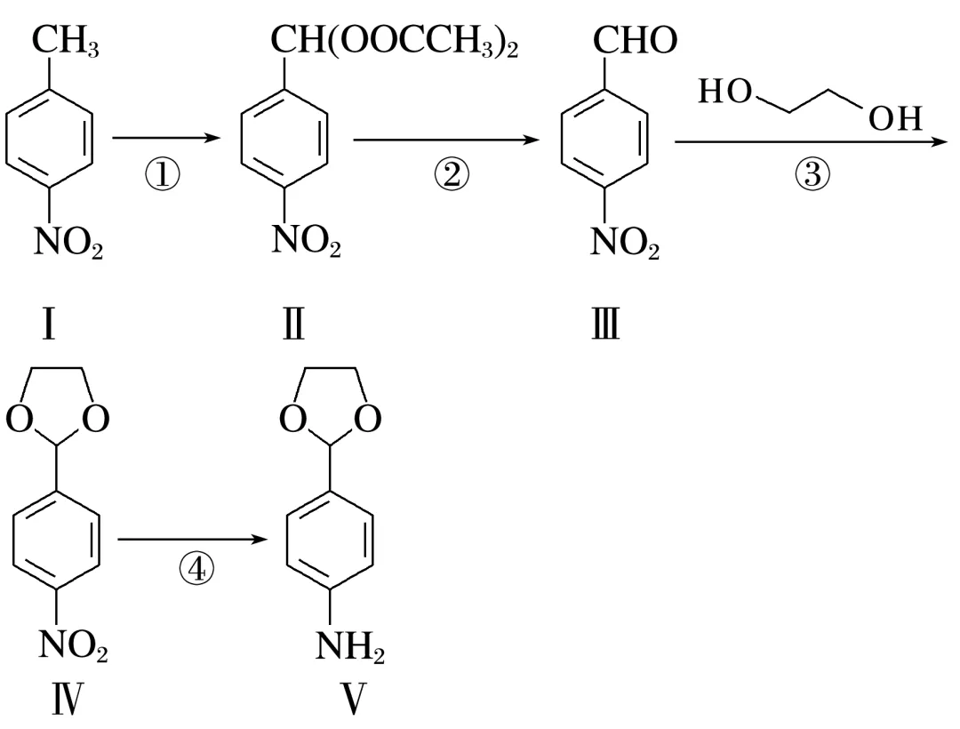
1.(2025·佛山二模)普卡必利是常用的胃肠促动药物,合成其中间体Ⅴ的路线如下(反应条件略):

(1)Ⅰ的名称为;Ⅴ中含氧官能团名称是。
(2)根据Ⅲ的结构特征,分析预测其可能的化学性质,完成下表。
序号 | 反应试剂、条件 | 反应形成的新物质 | 反应类型 |
① | | 
| |
② | 新制Cu ,加热 | | |

通过网盘分享的文件:word讲义【更新联系:lymsummers】等2个文件
链接: https://pan.baidu.com/s/1VcNxeHXgbJfoVMtA3SnQAg?pwd=4321 提取码: 4321
--来自百度网盘超级会员v8的分享