n
第43练 有机合成与推断综合分析(A)
[分值:50分]
1.(12分)(2023·辽宁,19)加兰他敏是一种天然生物碱,可作为阿尔茨海默症的药物,其中间体的合成路线如下。

已知:
①Bn为
②
3NH2
1为烃基,R2、R3为烃基或H)回答下列问题:
(1)A中与卤代烃成醚活性高的羟基位于酯基的位(填“间”或“对”)。
(2)C发生酸性水解,新产生的官能团为羟基和(填名称)。
(3)用O2代替PCC完成D→E的转化,化学方程式为。
(4)F的同分异构体中,红外光谱显示有酚羟基、无N—H键的共有种。
(5)H→I的反应类型为。
(6)某药物中间体的合成路线如下(部分反应条件已略去),其中M和N的结构简式分别为和。

答案 (1)对 (2)羧基
(3)2+O2
2O
(4)3 (5)取代反应
(6)
解析(2)有机物C在酸性条件下发生水解,其含有的酯基发生水解生成羧基。(4)F的同分异构体中不含有N—H键,说明结构中含有
结构,又因红外光谱中显示有酚羟基,说明结构中含有苯环和羟基,固定羟基的位置,
有邻、间、对三种情况,故有3种同分异构体。(6)利用逆合成法分析,有机物N可以与NaBH4反应生成最终产物,类似于题中有机物G与NaBH4反应生成有机物H,故有机物N的结构为
,有机物M可以发生已知条件所给的反应生成有机物N,说明有机物M中含有C==O,结合反应原料中含有羟基,说明原料生成有机物M发生的反应是羟基的催化氧化,有机物M的结构为
。
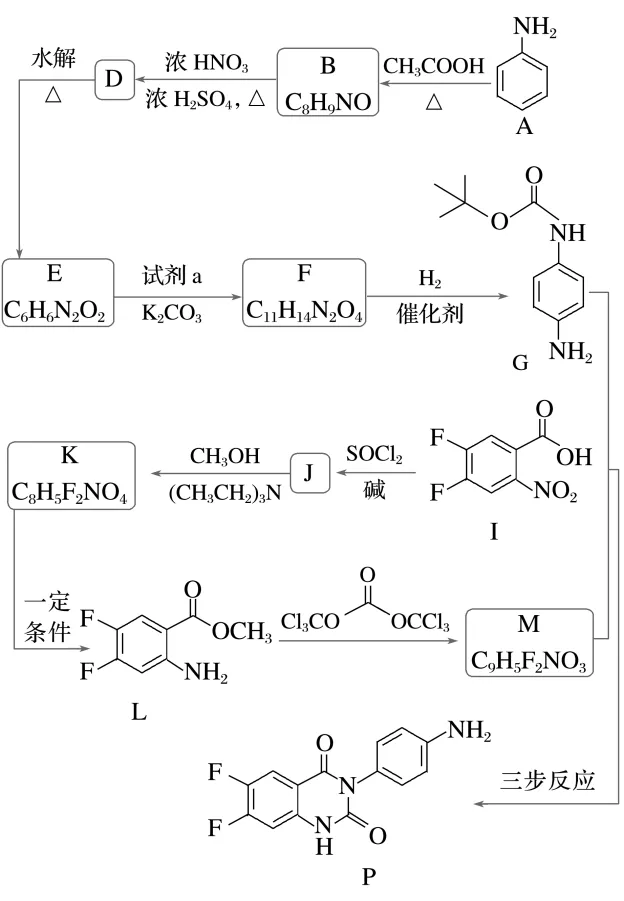
2.(12分)(2025·北京,17)一种受体拮抗剂中间体P合成路线如下。

已知:①RCOOHRCOCl;
②试剂a是。
(1)I分子中含有的官能团是硝基和。
(2)B→D的化学方程式是。
(3)下列说法正确的是(填序号)。
a.试剂a的核磁共振氢谱有3组峰
b.J→K的过程中,利用了(CH3CH2)3N的碱性
c.F→G与K→L的反应均为还原反应
(4)以G和M为原料合成P分为三步反应。
已知:

①M含有1个sp杂化的碳原子。M的结构简式为。
②Y的结构简式为。
(5)P的合成路线中,有两处氨基的保护,分别是:
①A→B引入保护基,D→E脱除保护基;
②。
答案 (1)碳氟键、羧基
(2) (3)bc
(4)①
②
(5)E→F引入保护基,Y→P脱除保护基
解析 A为苯胺,与乙酸反应得到B(
),B与浓硫酸和浓硝酸加热发生硝化反应得到D(
),D水解得到E(
),E与试剂a反应得到F(
),F与H2发生还原反应得到G,I与SOCl2在碱性条件下反应得到J(
),J与CH3OH反应得到K,根据K的分子式可以确定K为
还原得到L,L进一步反应得到M,根据M的分子式且M含有1个sp杂化的碳原子可以确定M的结构简式为
,结合最后产物P的结构,M中N==C发生加成反应得到X,X的结构简式为
在碱性条件下脱除CH3OH得到Y,Y的结构简式为
。(3)试剂a中有一种等效氢原子,核磁共振氢谱显示一组峰,a错误;J→K生成物有HCl,加入碱性物质(CH3CH2)3N,与生成的HCl反应,促进反应正向进行,b正确;根据分析,F→G与K→L的反应均为硝基转化为氨基,为还原反应,c正确。
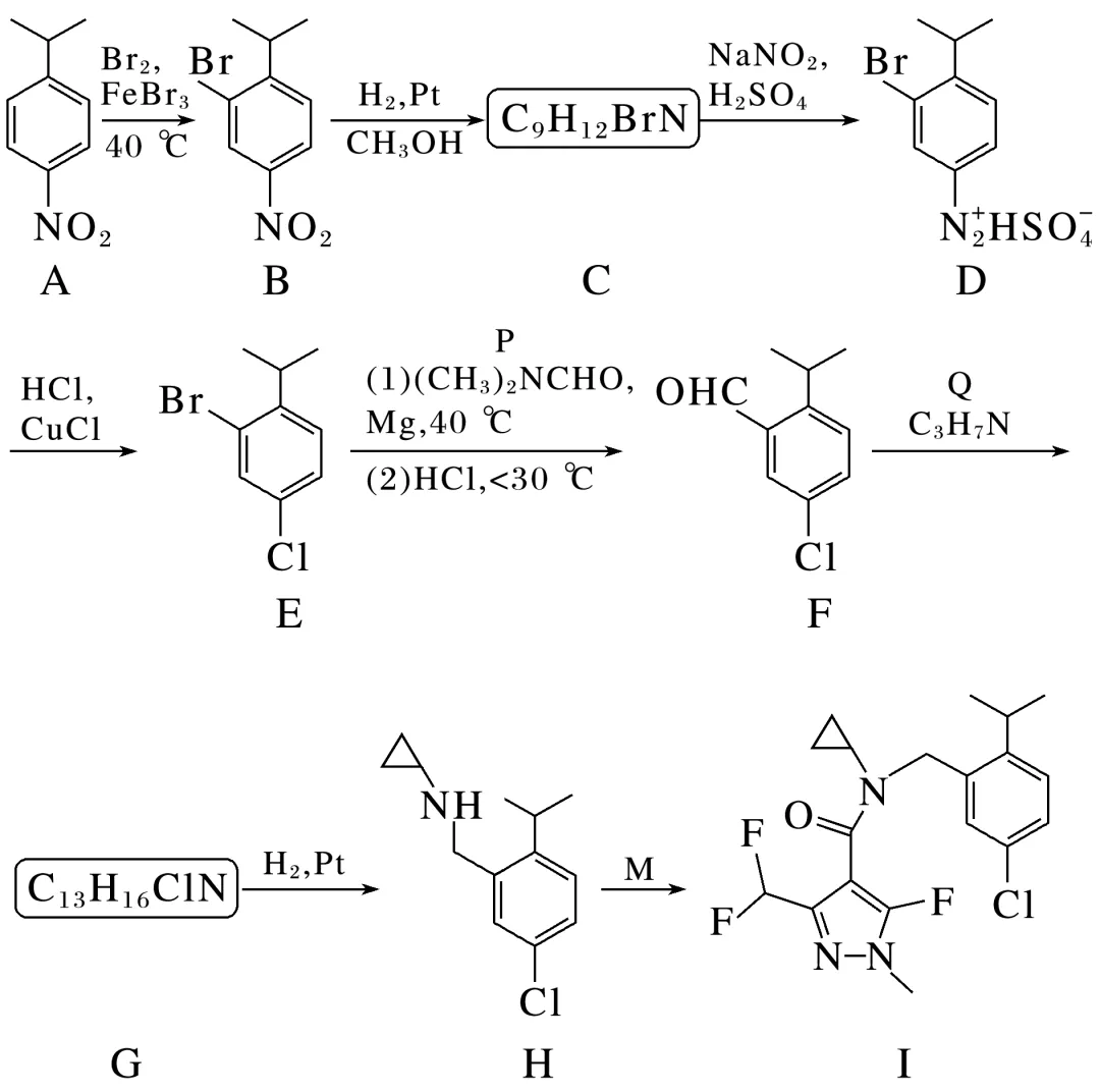
3.(16分)(2025·辽宁抚顺六校协作体模拟)化合物I是一种新型杀菌剂,广泛应用于谷物病虫害的防治。以下为化合物I的简化部分条件的合成路线。

已知:①R—X+MgR—MgX(R为烃基)。
②
回答下列问题:
(1)化合物A的系统名称是。

通过网盘分享的文件:2026版化学步步高大二轮专题复习【通用版】
链接: https://pan.baidu.com/s/1qU2fefC24s-mrlVQEwKSwQ?pwd=4321 提取码: 4321
--来自百度网盘超级会员v8的分享