
[分值:50分]
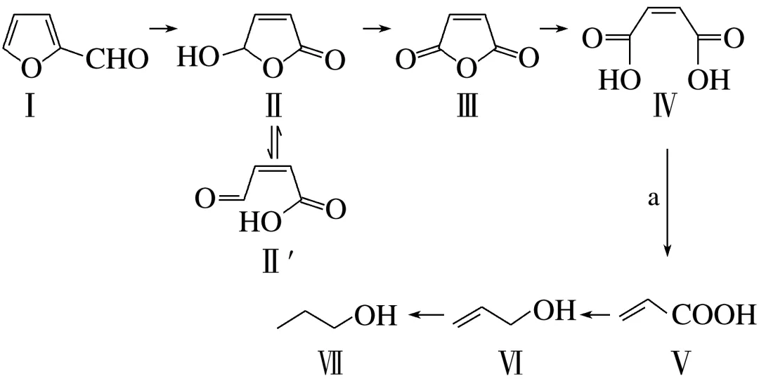
1.(15分)(2022·广东,21)基于生物质资源开发常见的化工原料,是绿色化学的重要研究方向。以化合物Ⅰ为原料,可合成丙烯酸Ⅴ、丙醇Ⅶ等化工产品,进而可制备聚丙烯酸丙酯类高分子材料。

(1)化合物Ⅰ的分子式为,其环上的取代基是(写名称)。
(2)已知化合物Ⅱ也能以Ⅱ'的形式存在。根据Ⅱ'的结构特征,分析预测其可能的化学性质,参考①的示例,完成下表。
序号 | 结构特征 | 可反应 的试剂 | 反应形成 的新结构 | 反应 类型 |
① | —CH==CH— | H2 | —CH2—CH2— | 加成 反应 |
② | | | | 氧化 反应 |
③ | | | | |
(3)化合物Ⅳ能溶于水,其原因是。
(4)化合物Ⅳ到化合物Ⅴ的反应是原子利用率100%的反应,且1 mol Ⅳ与1 mol化合物a反应得到2 mol Ⅴ,则化合物a为。
(5)化合物Ⅵ有多种同分异构体,其中含结构的有种,核磁共振氢谱图上只有一组峰的结构简式为。
(6)选用含二个羧基的化合物作为唯一的含氧有机原料,参考上述信息,制备高分子化合物Ⅷ的单体。
写出Ⅷ的单体的合成路线(不用注明反应条件)。

答案 (1)C5H4O2 醛基
(2)②—CHO O2 —COOH
③—COOH CH3OH —COOCH3 酯化反应(或取代反应)(合理即可) (3)Ⅳ中羟基能与水分子形成氢键
(4)乙烯 (5)2
(6)

解析(1)根据化合物Ⅰ的结构简式可知,其分子式为C5H4O2。(2)②化合物Ⅱ'中含有—CHO,可以被氧化为—COOH;③化合物Ⅱ'中含有—COOH,可与含有羟基的物质(如甲醇)发生酯化反应生成酯。(3)化合物Ⅳ中含有羟基,能与水分子形成分子间氢键,使其能溶于水。(4)化合物Ⅳ到化合物Ⅴ的反应是原子利用率100%的反应,且1molⅣ与1mola反应得到2molⅤ,则a的分子式为C2H4,为乙烯。(5)化合物Ⅵ的分子式为C3H6O,其同分异构体中含有
,则符合条件的同分异构体有
和
,共2种,其中核磁共振氢谱中只有一组峰的结构简式为
。(6)根据化合物Ⅷ的结构简式可知,其单体为
,其原料中的含氧有机物只有一种是含二个羧基的化合物,原料可以是
发生题干Ⅳ→Ⅴ的反应得到
还原为
,再加成得到
和
发生酯化反应得到目标产物。
2.(9分)(2021·广东,21)天然产物Ⅴ具有抗疟活性,某研究小组以化合物 Ⅰ 为原料合成Ⅴ及其衍生物Ⅵ的路线如下(部分反应条件省略,Ph表示—C6H5):


(1)化合物Ⅰ中含氧官能团有(写名称)。
(2)反应①的方程式可表示为Ⅰ+Ⅱ
Ⅲ+Z,化合物Z的分子式为。
(3)化合物Ⅳ能发生银镜反应,其结构简式为。
(4)反应②③④中属于还原反应的有,属于加成反应的有。
(5)化合物Ⅵ的芳香族同分异构体中,同时满足如下条件的有种,写出其中任意一种的结构简式:。
条件:a.能与 NaHCO3反应;b.最多能与2倍物质的量的NaOH反应;c.能与3倍物质的量的Na发生放出H2的反应;d.核磁共振氢谱确定分子中有6个化学环境相同的氢原子;e.不含手性碳原子(手性碳原子是指连有4个不同的原子或原子团的饱和碳原子)。
(6)根据上述信息,写出以苯酚的一种同系物及HOCH2CH2Cl为原料合成的路线:(不需注明反应条件)。
答案 (1)(酚)羟基、醛基 (2)C18H15OP
(3) (4)②②④ (5)10
(6)
解析(1)根据有机物Ⅰ的结构,有机物Ⅰ为对羟基苯甲醛,其含氧官能团为(酚)羟基、醛基。
(2)反应①的方程式可表示为Ⅰ+Ⅱ
Ⅲ+Z,根据反应中Ⅰ、Ⅱ、Ⅲ的分子式和质量守恒定律可知,反应前与反应后的原子个数相同,则反应后Z的分子式为C18H15OP。

通过网盘分享的文件:word讲义【更新联系:lymsummers】等2个文件
链接: https://pan.baidu.com/s/1VcNxeHXgbJfoVMtA3SnQAg?pwd=4321 提取码: 4321
--来自百度网盘超级会员v8的分享