
高考有机反应机理选择题的快速解答
1.对比前后物质转化、官能团转化、碳骨架变化,判断反应类型,如加成、取代、消去反应等。
2.关注题目中中间体转化过程中电子转移箭头、断键或成键部位。
3.提取信息获取陌生物质或结构间的相互转化:卤代烃的取代、羟醛缩合反应、酰基化、酮式与烯醇式互变的反应机理、碳正离子或自由基的作用等。

1.(2025·浙江1月选考,14)化合物A在一定条件下可转变为酚E及少量副产物,该反应的主要途径如下:

下列说法不正确的是( )
A.H+为该反应的催化剂
B.化合物A的一溴代物有7种
C.步骤Ⅲ,苯基迁移能力强于甲基
D.化合物E可发生氧化、加成和取代反应
答案 B
解析由图可知,H+在步骤Ⅰ中作反应物,在步骤Ⅳ中为生成物,因此H+是反应的催化剂,A正确;化合物A的一溴代物有6种,分别是
、
、
、
、
、
错误;由步骤Ⅲ可知C转化为D,苯基发生了迁移,甲基没有迁移,说明苯基的迁移能力强于甲基,C正确;化合物E中有酚羟基,可以发生氧化反应,苯环可以发生加成反应和取代反应,D正确。
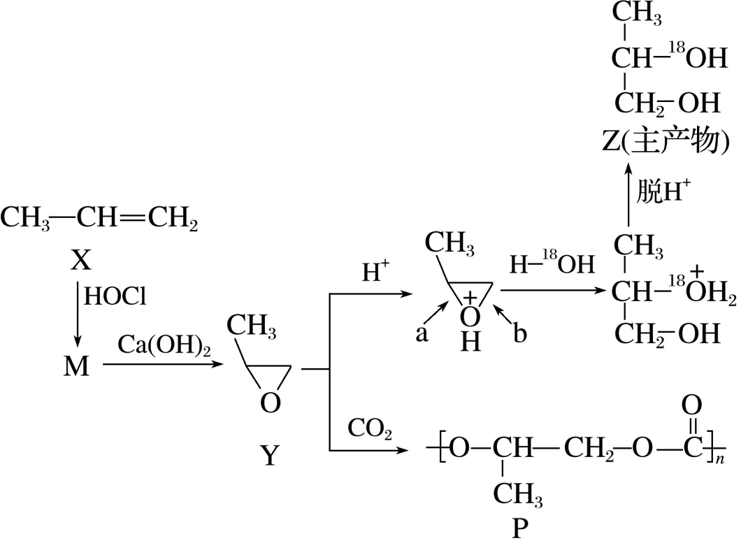
2.(2024·浙江6月选考,12)丙烯可发生如下转化(反应条件略):

下列说法不正确的是( )
A.产物M有2种且互为同分异构体(不考虑立体异构)
B.H+可提高Y→Z转化的反应速率
C.Y→Z过程中,a处碳氧键比b处更易断裂
D.Y→P是缩聚反应,该工艺有利于减轻温室效应
答案 D
解析 丙烯与HOCl发生加成反应得到M,M有CH3—CHCl—CH2OH和CH3—CHOH—CH2Cl两种可能的结构,且互为同分异构体(不考虑立体异构),A正确; Y在H+环境水解引入羟基,再脱H+得到主产物Z,H+是该反应的催化剂,可提高Y→Z转化的反应速率,B正确;从题干
可看出,是a处碳氧键断裂,故a处碳氧键比b处更易断裂,C正确; Y→P是CO2与Y发生加聚反应,该工艺消耗CO2,有利于减轻温室效应,D错误。
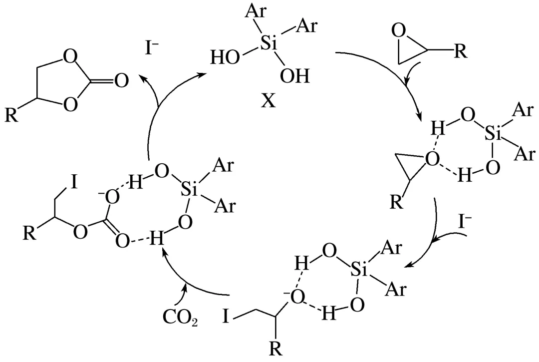
3.(2022·浙江1月选考,24)某课题组设计一种固定CO2的方法,原理如图。下列说法不正确的是( )

A.反应原料中的原子100%转化为产物
B.该过程在化合物X和I-催化下完成
C.该过程仅涉及加成反应
D.若原料用,则产物为
答案 C
解析通过图示可知,二氧化碳和
反应生成
,没有其他物质生成,反应原料中的原子100%转化为产物,A正确;通过图示可知,X和I-在反应前后无变化,是该反应的催化剂,B正确;在该循环过程的最后一步中形成五元环的时候反应类型为取代反应,C错误;分析该反应流程可知,通过该历程可以把三元环转化为五元环,故若原料用
,则产物为
正确。
4.(2024·广西,10)烯烃进行加成反应的一种机理如下:
此外,已知实验测得CH2==CH2、CH3CH==CH2、(CH3)2C==CH2与Br2进行加成反应的活化能依次减小。下列说法错误的是( )
A.乙烯与HCl反应的中间体为CH3—
H2
B.乙烯与氯水反应无CH2ClCH2OH生成
C.卤化氢与乙烯反应的活性:HBr>HCl
D.烯烃双键碳上连接的甲基越多,与Br2的反应越容易
答案 B
解析 HCl中氢带正电荷、氯带负电荷,结合机理可知,乙烯与HCl反应的中间体为氢和乙烯形成正离子:CH3—
H2,A正确;氯水中存在HClO,其结构为H—O—Cl,其中Cl带正电荷、OH带负电荷,结合机理可知,乙烯与氯水反应可能会有CH2ClCH2OH生成,B错误;由机理,第一步反应为慢反应,决定反应的速率,溴原子半径大于氯原子,HBr中氢溴键键能更小,更容易断裂,反应更快,则卤化氢与乙烯反应
通过网盘分享的文件:word讲义【更新联系:lymsummers】等2个文件
链接: https://pan.baidu.com/s/10SY5y2aMVnchrA2xx-JUuQ?pwd=4321 提取码: 4321
--来自百度网盘超级会员v8的分享