n
第6练 陌生物质转化和反应机理
[分值:50分]
(1~3题,每小题5分,4~8题,每小题7分)
1.(2025·嘉兴模拟)卤代烃(以三甲基溴丁烷水解为例)在碱性条件下的水解机理如下(已知水解过程中形成的碳正离子越稳定,反应越容易),下列说法正确的是( )

A.(CH3)3CBr在碱性条件下的水解速率由第Ⅱ步决定
B.水解过程中碳原子的杂化方式不变
C.稳定性:(CH3)3
H<(CH3)3
r
D.水解速率:(CH3)2CHCH2Br<(CH3)3CBr
答案 D
解析活化能越小反应越快,活化能越大反应越慢,决定总反应速率的是慢反应;由图可知,(CH3)3CBr在碱性条件下的水解速率由第Ⅰ步决定,A错误;(CH3)3CBr中和溴相连的C为sp3杂化,(CH3)3C+中C+为sp2杂化,水解过程中碳原子的杂化方式发生改变,B错误;物质能量越低越稳定,由图可知,稳定性:(CH3)3
H>(CH3)
r,C错误;已知水解过程中形成的碳正离子越稳定,反应越容易,甲基为推电子基团,则(CH3)3CBr水解过程中形成的(CH3)3C+更稳定,导致水解速率:(CH3)2CHCH2Br<(CH3)3CBr,D正确。
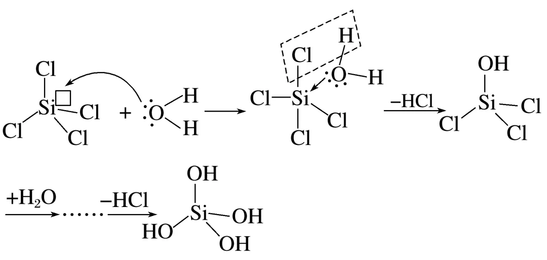
2.(2025·武汉模拟)SiCl4的水解机理如图所示(“□”代表Si的3d轨道)。下列说法错误的是( )

A.上述过程涉及极性键的断裂和形成
B.水解过程中Si的杂化方式有变化
C.NCl3的水解机理与SiCl4相同
D.相同条件下,SiCl4比CCl4易水解
答案 C
解析上述过程涉及Si—Cl极性键的断裂和Si—O极性键的形成,A正确;水解过程的第一步中Si原子的成键数目由4增大为5,Si的杂化方式有变化,从最初的sp3杂化变为sp3d杂化,B正确;NCl3水解时H2O中的H原子与NCl3上的孤电子对结合,O与Cl结合形成HClO,而SiCl4上无孤电子对,故NCl3的水解机理与SiCl4不相同,C错误;C为第二周期元素,只有2s、2p轨道可以成键,最大配位数为4,无空轨道可以接受水的配位,因此不易水解,所以相同条件下,SiCl4比CCl4易水解,D正确。
3.(2025·保定模拟)在金属催化剂表面发生*CO2→*C2H4转化的过程可能为*CO2→*COOH→*CO→*OCCO→*C2H4(*表示吸附在催化剂表面)。其中部分物种在催化剂表面的吸附构型如图甲所示(*H已省略),反应历程中的相对能量如图乙所示。

下列说法中错误的是( )
A.*CO2→*C2H4碳元素发生了还原反应
B.电负性:Cu>Cs
C.反应过程中还有H2O生成
D.Cu催化剂比Cu⁃Cs复合催化剂更容易吸附CO和OCCO
答案 D
解析碳元素化合价降低,发生了还原反应,A项正确;Cu⁃Cs复合催化剂中CO中的O只吸附在Cs表面,说明Cs有带正电的趋势,因此电负性:Cu>Cs,B项正确;*H结合*CO2中的O生成H2O,C项正确;由图乙可知,Cu⁃Cs复合催化剂吸附CO和OCCO状态能量低,更易吸附CO和OCCO,D项错误。
4.(2025·湖北襄阳模拟)4⁃氯乙酰乙酸乙酯是一种治疗心脑血管疾病的高疗效药中间体。双乙烯酮(M)法合成4⁃氯乙酰乙酸乙酯(N)的工艺涉及的反应方程式如下(Cat.表示催化剂)。下列说法错误的是( )

A.M中σ键与π键数目之比为5∶1
B.X中不可能所有原子共平面
C.N能发生氧化、取代、加成、消去反应
D.等物质的量的X、N分别与足量NaOH溶液反应,消耗的NaOH的量相等
答案 C
解析由M的结构简式可知,M中含有σ键数目为10,π键数目为2,则M中σ键与π键数目之比为10∶2=5∶1,A正确;由题干X的结构简式可知,X分子中存在sp3杂化的碳原子,故X中不可能所有原子共平面,B正确;由题干N的结构简式可知,N中含有碳卤键和酯基,能发生取代反应,N中含有酮羰基,则能发生加成反应,N能够燃烧,即N能发生氧化反应,但N中碳卤键中邻碳上没有H,故不能发生消去反应,C错误;由题干X、N的结构简式可知,1molX、N均最多消耗2molNaOH,则等物质的量的X、N分别与足量NaOH溶液反应,消耗的NaOH的量相等,D正确。
5.(2025·北京海淀区高三一模)硫铁矿矿渣(FeS2)周围的酸性废水中存在硫细菌和铁细菌,可促进FeS2的溶解,相关的物质转化如图所示,其中①~③均完全转化。下列说法不正确的是( )

A.硫细菌的存在可减少覆盖在硫铁矿矿渣表面的S
B.铁细菌的存在能提高反应①的速率
C.废水中铁元素含量几乎不变
D.一段时间后,废水的pH降低
答案 C
解析硫细菌可以将硫铁矿表面的硫氧化为硫酸根离子从而减少硫铁矿表面的硫,A正确;铁细菌可以将亚铁离子氧化为铁离子,而铁离子可以加快FeS2的溶解,所以铁细菌的存在能提高反应①的速率,B正确;根据流程图可知,FeS2参与反应生成了亚铁离子和硫单质,故废水中铁元素的含量增多,C错误;总反应为4FeS2+15O2+2H2O4Fe3++8S
+4H+,一段时间后,废水中c(H+)增大,导致废水的pH降低,D正确。
6.(2025·湖北省T8联盟模拟)在可见光的照射下将CO2催化还原为CH4的反应历程如图所示(FeⅡ代表铁显+2价)。下列叙述错误的是( )

A.一段时间后,Ir(ppy)3数目基本保持不变
B.在上述循环中,铁元素化合价发生了变化
C.上述循环中只断裂和形成σ键
D.CO2催化还原过程中,CO是中间产物
答案 C
解析 Ir(ppy)3循环转化,总量基本保持不变,A正确;上述循环中铁元素存在0、+1、+2价,B正确;上述转化中,断裂了碳氧双键中的π键,C错误;CO2经过反应(2)(3)生成CO,CO经过(4)(5)(6)生成CH4,CO是中间产物,D正确。
7.(2025·广东佛山高三联考)CO2加氢制甲醇的反应机理如图所示。已知活化位点为催化剂上能吸附反应物分子同催化剂反应的基团位置。下列说法不正确的是( )

A.该过程的总反应可表示为CO2+3H2
3OH+H2O
B.是该反应的催化剂
C.CO2和H2的活化位点相同
D.氧空位浓度高,有利于增强CO2的吸附能力
答案 C
解析

结合已知信息,对比“①吸附、②吸附”加入H2和CO2前后物质的结构变化可知,H2的活化位点是Ga—O,CO2的活化位点是氧空位,故氧空位浓度高,活化位点增多,有利于增强CO2的吸附能力,C错误、D正确。
8.工业上从海水中制溴的步骤

通过网盘分享的文件:2026版化学步步高大二轮专题复习【通用版】
链接: https://pan.baidu.com/s/1qU2fefC24s-mrlVQEwKSwQ?pwd=4321 提取码: 4321
--来自百度网盘超级会员v8的分享