
[分值:50分]
1.(16分)(2025·清远二模)化合物Ⅶ是一种重要的药物合成中间体,该物质的合成路线如下:

已知:EtOH为乙醇。
(1)化合物Ⅳ的名称为,化合物Ⅴ中官能团的名称是。
(2)由Ⅰ和有机物A制备Ⅱ的反应的原子利用率为100%,则A的结构简式为。
(3)化合物Ⅶ含有个手性碳原子。
(4)对化合物Ⅲ,分析预测其可能的化学性质,完成下表。
序号 | 反应试剂、条件 | 反应形成的新结构 | 反应类型 |
① | | 
| |
② | | | 取代反应 |
答案 (1)苯乙酸 酯基 (2) (3)1 (4)①浓硫酸,加热 消去反应 ②HBr,浓硫酸,加热
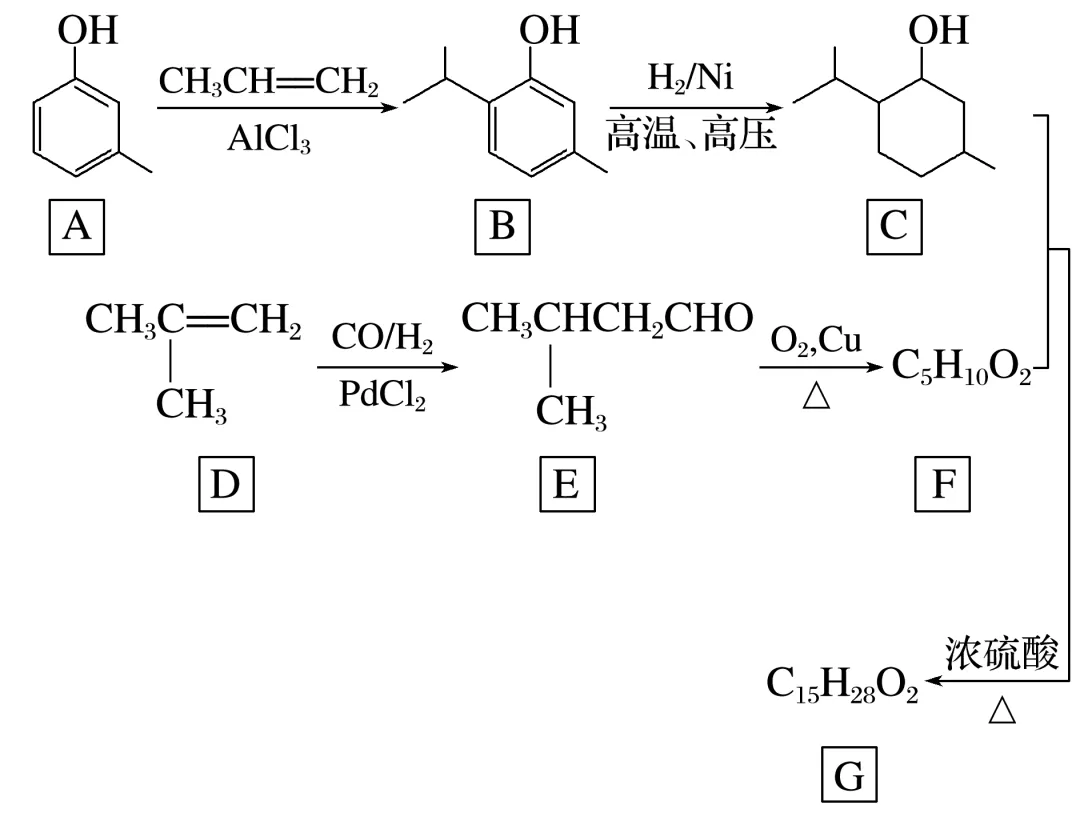
2.(18分)(2025·汕头二模)有机物G是一种治疗心脏病的特效药物,可用下列流程合成。

(1)化合物A的分子式为,其名称为。
(2)化合物E中官能团的名称是。
(3)对化合物C,分析预测其可能的化学性质,完成下表。
序号 | 反应试剂、条件 | 反应形成的新结构 | 反应类型 |
① | | 
| |
② | Cu,O2,加热 | | 氧化反应 |
答案 (1)C7H8O 3⁃甲基苯酚 (2)醛基 (3)①氯气、光照 取代反应 ②
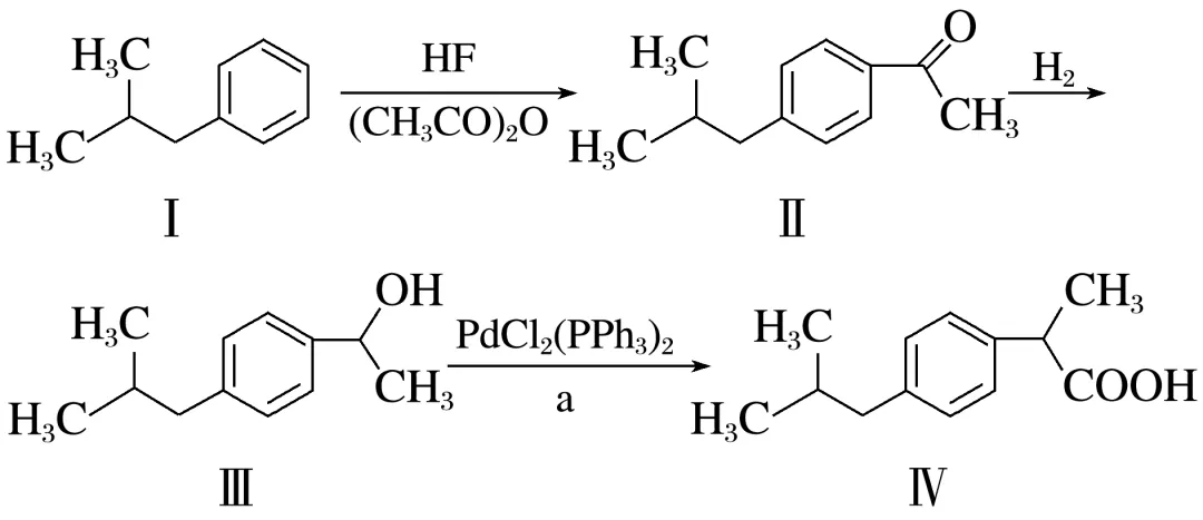
3.(16分)(2025·湛江二模)三步法合成布洛芬既遵循了绿色化学原则,又实现了废气的利用,其合成路线如下所示:

(1)化合物Ⅰ的分子式为,化合物Ⅱ中含氧官能团的名称为。
(2)化合物Ⅲ到化合物Ⅳ的反应是原子利用率100%的反应,且1 mol Ⅲ与1 mol化合物a反应得到1 mol Ⅳ,则化合物a为。
(3)化合物Ⅰ→Ⅱ的化学方程式为。
(4)根据化合物Ⅲ的结构特征,分析预测其可能的化学性质,完成下表。
序号 | 反应试剂及条件 | 反应形成的新结构 | 反应类型 |
① | | | 加成反应 |
② | | 
| |
答案 (1)C10H14 酮羰基 (2)CO (3)

(4)①H2,Ni,加热 ②浓硫酸,加热 消去反应
通过网盘分享的文件:word讲义【更新联系:lymsummers】等2个文件
链接: https://pan.baidu.com/s/1VcNxeHXgbJfoVMtA3SnQAg?pwd=4321 提取码: 4321
--来自百度网盘超级会员v8的分享